Системы диагностики финансового состояния предприятия в рамках антикризисного управления
2) Анализ оборачиваемости запасов
- прямой показатель оборачиваемости - коэффициент оборачиваемости запасов (
), который характеризует скорость обновления запасов предприятия (другими словами - количество оборотов денежных средств, вложенных в запасы, за отчетный период):
![]()
(1.2.3)
где ![]()
- выручка от реализации продукции за отчетный период;
![]()
- среднегодовая величина запасов.
Обратный показатель оборачиваемости - период оборота запасов.
3) Средневзвешенная стоимость капитала
4) Анализ финансовой устойчивости предприятия
Коэффициент концентрации собственного капитала:
(1.2.6)
Коэффициент финансовой зависимости:
(1.2.7)
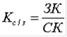
Коэффициент концентрации заемного капитала:
(1.2.8)
где ЗК - заёмный капитал (стр. 695 формы №1)
Коэффициент соотношения заемных и собственных средств:
(1.2.9)
5) Анализ платежеспособности предприятия
Коэффициент общей ликвидности
(1.2.10)
Коэффициент текущей ликвидности
(1.2.11)
где З - запасы (стр. 210 формы №1)
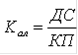
Коэффициент абсолютной ликвидности
(1.2.12)
где ДС - денежные средства (стр. 260 формы №1)
ВЛА - высоко ликвидные активы (стр. 250 формы №1)
КЗ - кредиторская задолженность (стр. 620 формы №1)
6) Анализ рентабельности
Рентабельность основных средств
![]()
(1.2.13)
где ![]()
- чистая прибыль
![]()
- среднегодовая величина основных средств
Рентабельность продаж
![]()
(1.2.14)
где ![]()
- операционная прибыль
![]()
- выручка
Рентабельность активов
(1.2.15)
Рентабельность собственного капитала
![]()
(1.2.16)
где ![]()
- средний размер собственного капитала за определённый период
Доходность активов =
(1.2.17)
Коэффициент оборачиваемости активов = ![]()
(1.2.18)
Еще статьи по экономике
Оценка рыночной стоимости 100% акций ЗАО АЛИКОМ
Общие сведения
Оценка предприятий (бизнеса) в современных условиях развития рыночных
отношений становится все более необходимым и часто применяемым инструментом
регулирования рынка.
...
Теория, практика и российская действительность безработицы
Рынок труда занимает одно из важных мест в системе рыночных отношений
России. На протяжении многих лет, на нем сталкиваются интересы, как
трудоспособных граждан, так и работодателей, пре ...
Расчёт и оценка основных технико-экономических показателей деятельности ООО Алия
Комплексное, успешное развитие экономики нашего, государства, региона и управление отдельно взятым промышленным предприятием предполагает наличие базовых знаний во всех областях экономической науки.
...