Математическое вырадение оценки эффективности инвестиций
Теперь, когда показатель обобщающей эффективности производства идентифицирован с показателем рентабельности выручки и обосновано его значение как заглавного показателя в системе оценки эффективности инвестиций, требует решения проблема его математического выражения с учётом фактора времени, дополняемая необходимостью конструирования всей подсистемы показателей с учётом фактора времени.
Проектирование показателей оценки с учётом фактора времени. Проектируемая нами система оценки эффективности инвестиционных проектов призвана стать основой для их отбора к финансированию предприятиями и предпринимателями. С другой стороны, в выигрыше будут и инвесторы, поскольку качество и перспективность инвестиционных предложений существенно возрастут в связи со значительным повышением их эффективности и конкурентоспособности.
Конструирование подсистемы показателей с учётом фактора времени осуществлено на базе элементов ,полученных моделированием денежных потоков инвестиционного проекта с учётом фактора времени по предложенной методике .
Для удобства изложения и понимания дальнейшего хода исследования воспроизведём уже определённый нами показатель чистого интегрального, который помимо того, что необходим в инвестиционных обоснованиях сам по себе, содержит в своей структуре элементы, необходимые для построения других показателей подсистемы:
Он по своей структуре является аналогом показателя чистого дисконтированного дохода, однако в отличие от ЧДД дает реальное представление о движении и величине дохода по годам создания и эксплуатации предприятия. ЧДВ является основой планирования хозяйственной деятельности предприятия и разработки программ его развития.
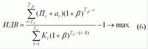
Индекс доходности инвестиций представляет собой отношение приведенных по фактору времени чистой интегральной прибыли и инвестиций, выглядит следующим образом:
Он позволяет ранжировать инвестиционные проекты с точки зрения эффективности использования в них инвестиций, а не всего комплекса расходуемых и примененных ресурсов. Приоритеты, определенные с его помощью, вторичны, уступают ранжированию по ОЭВ. Показатели ЧДВ и ИДВ дают важную информацию об инвестиционных проектах инвесторам - владельцам инвестиционных ресурсов.
Обобщающий показатель эффективности производства с использованием его исходного выражения для годовых измерений после преобразования знаменателя в выражение: З + (а + ROAнК) - приобретает вид:
где Зt - годовые текущие затраты без амортизации.
В числителе ОЭВ - сумма чистой прибыли инвестиционного проекта по годам эксплуатации предприятия с учетом фактора времени, исчисляемая по . В знаменателе - сумма интегральных значений амортизации и норматива прибыли с учетом фактора времени, а также годовых издержек производства без учета фактора времени, поскольку текущие издержки не могут приносить вторичный доход на финансовом рынке.
Показатель ОЭВ является заглавным во всей системе, поскольку учитывает: интегральные результаты расхода и применения всего комплекса ресурсов, а не только инвестиций; оценку в течении всего цикла жизнедеятельности предприятия, а не на локальном его отрезке; влияние фактора времени. По изменению его величины судят о приемлемости или неприемлемости инвестиционного проекта. Аналога этого показателя среди ныне применяемых нет.
Таким образом, в группу показателей с учетом фактора времени входят три показателя: ОЭВ, ЧДВ, ИДВ. Эти сокращения образованы ключевыми понятиями их полных названий. Последний символ "В" обозначает учет фактора времени.
Хотя достигнутое совершенствование метода учёта фактора времени позволяет при оценке эффективности инвестиционных проектов в условиях переходной экономики преодолеть ряд недостатков метода дисконтирования, рекомендовать его к практическому использованию в настоящее время нецелесообразно. Характерные для переходной экономики неопределённость экономической среды и связанная с ней недостоверность прогнозирования динамики денежных потоков инвестиционного проекта в интервале 5-10-15 лет обусловливают неприемлемость в принципе использования для оценки эффективности инвестиционных проектов интегральных показателей и тем более с учётом фактора времени, множащим неточности прогнозирования этой динамики.
Еще статьи по экономике
Оценка эффективности программно-целевого метода службы занятости населения
В настоящее время общепризнанным является мнение, что программно-целевой метод служит важнейшим инструментом осуществления государственной социальной и экономической политики развития страны и ее отде ...
Статистическое изучение инвестиционной деятельности промышленных предприятий по материалам хозяйственной деятельности ЗАО Сагава
Инвестиции - денежные средства, ценные бумаги, иное
имущество, в том числе имущественные права, иные права, имеющие денежную
оценку, вкладываемые в объекты предпринимательской и (или) ин ...
Потребность и блага. Экономический вывод
Актуальность.
Хозяйственная жизнь общества основана на необходимости удовлетворять
потребности людей в различных экономических благах. В свою очередь, эти блага
производятся на базе эк ...