Анализ финансовых результатов организации ООО «Центр автоматизации производственных процессов»
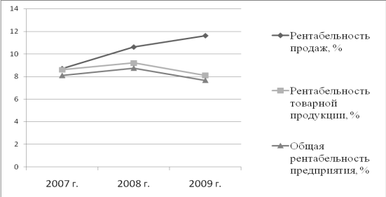
Из показателей рентабельности таблицы 2.9 видно, что их динамика разнообразна, так:
уровень экономической рентабельности в 2009 году по отношению к 2007 году вырос на 5,87 %, и составил при этом 37,99%;
рентабельность продаж в 2009 году по отношению к 2007 году возросла на 2,89 % и составила 11,61%, но при этом она осталась на не высоком уровне;
рентабельность товарной продукции в 2009 году по отношению к 2007 году снизилась на 0,47 %, а в 2009 году по отношению к 2008 году снизилась на 1,04 % и составила 8,11 %. Следовательно в 2009 году каждый рубль затрат на производство и реализацию продукции принес менее 9 копеек чистой прибыли.
общая рентабельность предприятия в 2009 году по отношению к 2007 году также снижается на 0,43 % и составила 7,66%.
Динамика этих показателей (рис 2.3) свидетельствует о необходимости пересмотра организацией ООО «ЦАПП» цен и усиления контроля за себестоимостью, а также улучшения маркетинговой политики.
Рис. 2.3. Динамика показателей рентабельности работы предприятия ООО «ЦАПП» за ряд лет
Определим влияние факторов, оказавших воздействие на изменение уровня рентабельности 2009 года по отношению к 2008 году:
. Влияние прибыли на рубль реализованной продукции:
,08 / (0,09 + 0,13) * 100 - 33,68= 2,98 %
Связь между прибылью и рентабельностью производства прямая, т.е. чем меньше прибыль, тем меньше рентабельность
. Влияние использования основных средств предприятия:
(0,08/ (0,07 + 0,13) * 100) - (0,08/ (0,09 - 0,13) * 100) = 44,0 %
А связь между фондоемкостью и рентабельностью производства обратная.
. Влияние оборачиваемости оборотных средств предприятии:
,61 - (0,08/ (0,07 + 0,13) * 100) = 44,61 %
Увеличение коэффициента закрепления оборотных средств замедляет их оборачиваемость и снижает рентабельность производства, и наоборот. Рентабельность фонов, а, следовательно, рентабельность предприятия в целом тем выше, чем выше прибыльность продукции; чем выше фондоотдача основных фондов и скорость оборота оборотных средств; чем ниже затраты на рубль продукции и удельные затраты по экономическим элементам (средств труда, материалов труда).
Еще статьи по экономике
Пути улучшения финансовых результатов деятельности предприятия ООО ЦАПП
В
настоящее время, в период современного мирового экономического кризиса, когда
наблюдается спад промышленного производства и значительно сокращаются
инвестиции в него, повышается самос ...
Основной капитал, его воспроизводство, инвестиционная и амортизационная политика в условиях НТР
Целью работы является определить значение основного капитала в
деятельности предприятия, определить факторы его эффективности и использования.
А так же исследование амортизационной и инв ...
Исследование показателей по труду и заработной плате
оплата труд производительность
Экономия
труда, рациональное использование трудовых ресурсов в торговле имеют большое
значение для развития всей экономики страны и непосредственно самой от ...